各有关单位、广大师生:
2025年9月,创新创业学院与数学科学学院、工程科学学院、微电子学院、生命科学与医学部、生物医学工程学院、公共事务学院、环境科学与工程系、核科学技术学院/国家同步辐射实验室、先进技术研究院,面向2025级全日制研究生联合设立了“科创试点班”。
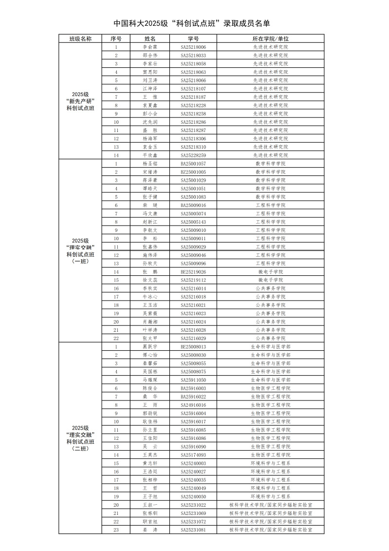
科创试点班招生工作受到了各学院(学部)广大师生的热烈响应,经个人申报、笔试、面试等环节,李俞霖等59位同学被录取为2025级“科创试点班”成员(详见下表)。
特此通知。
创新创业学院
2025年9月30日
附件:中国科大2025级“科创试点班”录取成员名单
